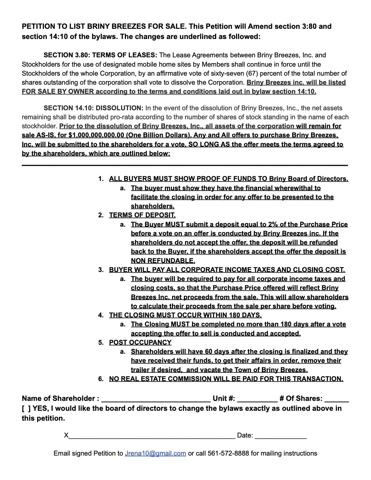
Petition document for listing Briny Breezes for sale, detailing amendments to bylaws sections 3.80 and 14.10, with conditions for buyers including proof of funds, deposit terms, tax and closing cost responsibilities, and post-occupancy arrangements.

561-572-8888

Our Only Insurance Policy

We must protect our way of life, we must protect our investments and we only have one option, LIST BRINY FOR SALE and do our best to maintain what we have preserved for over 6 decades. Developers are everywhere, our seawalls are in catastrophic condition, the assessment continues to go up, the taxes continue to go up and we as a community do not have the wherewithal to upgrade our infrastructure, which upgrades could be required by Palm Beach County in the very near future. Please consider signing the petition and if we are successful, the property will simple be listed on the open market for sale by owner and the shareholders will have established terms in advance of any buyers, GOOD TERMS.

The last deal in 2008 was a catastrophe, lots of people lost their homes and everyone shareholder was bamboozled. The shareholders fought with each other and made horrible decisions which cost them big time in the end. Listing the property under the terms presented in this petition guarantees us good terms and gives our board direction if approached, more importantly it gives potential buyers an understanding of what it would take to purchase Briny Breezes inc.